publications

Here are my publications, year by year, in reversed chronological order.

2026

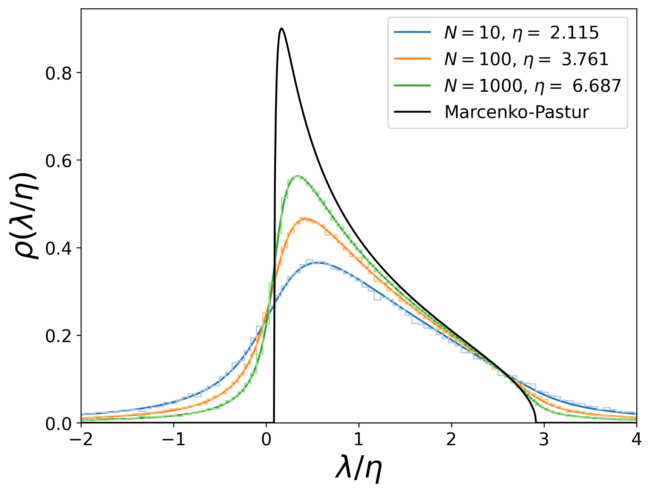
  1. wishart.png
    The Wishart–Rosenzweig–Porter random matrix ensemble
    Victor Delapalme, Leticia F Cugliandolo, Grégory Schehr, Marco Tarzia, and Davide Venturelli
    J. Stat. Mech., Jan 2026

2025

  1. channel.png
    Macroscopic fluctuation theory of interacting Brownian particles
    Aurélien Grabsch, Davide Venturelli, and Olivier Bénichou
    Preprint (accepted in Phys. Rev. E), Dec 2025
  2. recoil.png
    Recoil of a driven tracer in a correlated medium
    Marcin Piotr Pruszczyk, Davide Venturelli, and Andrea Gambassi
    J. Stat. Mech., Nov 2025
  3. polymer.png
    Structure and dynamics of a Rouse polymer in a fluctuating correlated medium
    Pietro Luigi Muzzeddu, Davide Venturelli, and Andrea Gambassi
    New J. Phys., Oct 2025
  4. soft.png
    Exact Large-Scale Correlations in Diffusive Systems with General Interactions
    Aurélien Grabsch, Davide Venturelli, and Olivier Bénichou
    Phys. Rev. Lett., Sep 2025
  5. lattice-gas.png
    Universal Scale-Free Decay of Tracer-Bath Correlations in d-Dimensional Interacting Particle Systems
    Davide Venturelli, Pierre Illien, Aurélien Grabsch, and Olivier Bénichou
    Phys. Rev. Lett., Sep 2025
  6. ARXY.jpg
    The XY model with vision cone: non-reciprocal vs. reciprocal interactions
    Gabriele Bandini, Davide Venturelli, Sarah A. M. Loos, Asja Jelic, and Andrea Gambassi
    J. Stat. Mech., May 2025
  7. comb.png
    Dynamics of soft interacting particles on a comb
    Davide Venturelli, Pierre Illien, Aurélien Grabsch, and Olivier Bénichou
    J. Phys. A: Math. Theor., May 2025

2024

  1. currents_interpolate.png
    Current fluctuations in the symmetric exclusion process beyond the one-dimensional geometry
    Théotim Berlioz, Davide Venturelli, Aurélien Grabsch, and Olivier Bénichou
    J. Stat. Mech., Nov 2024
    Selected as JSTAT Highlight 2025
  2. hidden_leaf.png
    Multifractal phase in the weighted adjacency matrices of random Erdös-Rényi graphs
    Leticia F. Cugliandolo, Grégory Schehr, Marco Tarzia, and Davide Venturelli
    Phys. Rev. B, Nov 2024
  3. heatmap.png
    Stochastic thermodynamics of a probe in a fluctuating correlated field
    Davide Venturelli, Sarah A. M. Loos, Benjamin Walter, Édgar Roldán, and Andrea Gambassi
    EPL, May 2024
    Selected as EPL 2024 Journal Highlight

2023

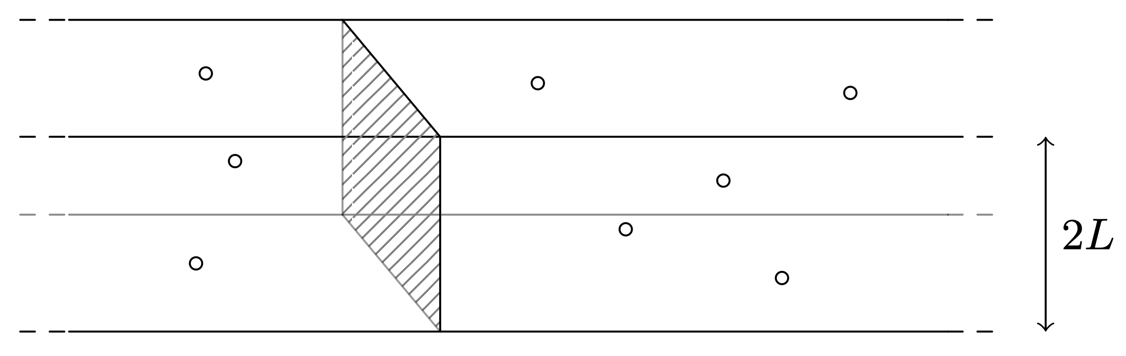
  1. shadow_cut.png
    Memory-induced oscillations of a driven particle in a dissipative correlated medium
    Davide Venturelli, and Andrea Gambassi
    New J. Phys., Sep 2023
  2. multifractal.png
    Replica approach to the generalized Rosenzweig-Porter model
    Davide Venturelli, Leticia F. Cugliandolo, Grégory Schehr, and Marco Tarzia
    SciPost Phys., May 2023
  3. flock.png
    Collective response to local perturbations: how to evade threats without losing coherence
    Emanuele Loffredo, Davide Venturelli, and Irene Giardina
    Phys. Biol., Apr 2023

2022

  1. confined.png
    Tracer particle in a confined correlated medium: an adiabatic elimination method
    Davide Venturelli, and Markus Gross
    J. Stat. Mech., Dec 2022
  2. 2parts.jpg
    Inducing oscillations of trapped particles in a near-critical Gaussian field
    Davide Venturelli, and Andrea Gambassi
    Phys. Rev. E, Oct 2022
  3. cartoon.png
    Nonequilibrium relaxation of a trapped particle in a near-critical Gaussian field
    Davide Venturelli, Francesco Ferraro, and Andrea Gambassi
    Phys. Rev. E, May 2022